行家说Display
LED新型显示产业智库
关注公众号
膜拜了:史上最全开关电源EXCEL计算表格
原本文档(Excel表格自动计算):最全开关电源相关计算.xls
下图为能源之星标准和自动计算方法
膜拜了:史上最全开关电源EXCEL计算表格
膜拜了:史上最全开关电源EXCEL计算表格
膜拜了:史上最全开关电源EXCEL计算表格
下图为LR-CR-Q
膜拜了:史上最全开关电源EXCEL计算表格
下图为QR-PFC-DCM
膜拜了:史上最全开关电源EXCEL计算表格
下图为PFC计算
膜拜了:史上最全开关电源EXCEL计算表格
下图为QR
膜拜了:史上最全开关电源EXCEL计算表格
膜拜了:史上最全开关电源EXCEL计算表格
下图为反级VDS
膜拜了:史上最全开关电源EXCEL计算表格
下面五个图为反激式开关电源参数设计
膜拜了:史上最全开关电源EXCEL计算表格
膜拜了:史上最全开关电源EXCEL计算表格
膜拜了:史上最全开关电源EXCEL计算表格
膜拜了:史上最全开关电源EXCEL计算表格
膜拜了:史上最全开关电源EXCEL计算表格
膜拜了:史上最全开关电源EXCEL计算表格
下图为反激式变压器设计
膜拜了:史上最全开关电源EXCEL计算表格
备注: B值不可超过3200 VDS不可超过600
下图为参考写验证
膜拜了:史上最全开关电源EXCEL计算表格
下图为反激式计算表
膜拜了:史上最全开关电源EXCEL计算表格
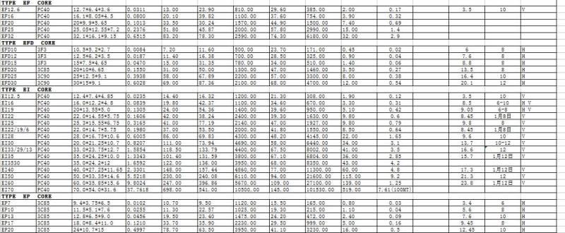
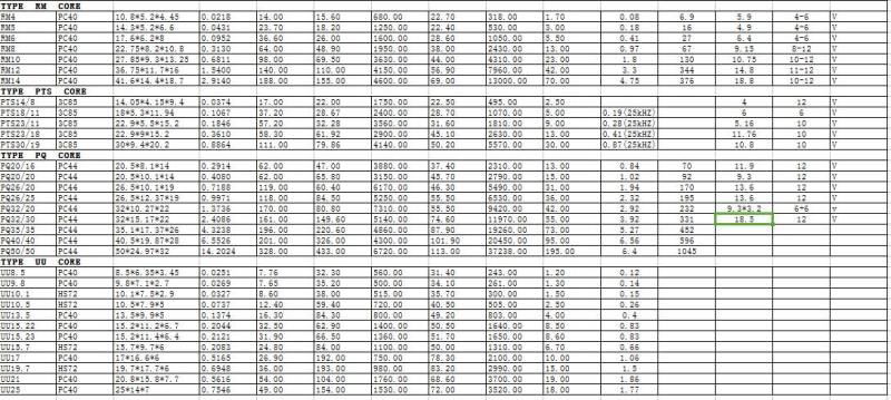
下图为CORE參數對照表
膜拜了:史上最全开关电源EXCEL计算表格
膜拜了:史上最全开关电源EXCEL计算表格
膜拜了:史上最全开关电源EXCEL计算表格
膜拜了:史上最全开关电源EXCEL计算表格
下面两图为计算注意
膜拜了:史上最全开关电源EXCEL计算表格
膜拜了:史上最全开关电源EXCEL计算表格
下图为EC
膜拜了:史上最全开关电源EXCEL计算表格
下面两图为EE
膜拜了:史上最全开关电源EXCEL计算表格
膜拜了:史上最全开关电源EXCEL计算表格
下图为EF
膜拜了:史上最全开关电源EXCEL计算表格
下面为EFD
膜拜了:史上最全开关电源EXCEL计算表格
下图为EI
膜拜了:史上最全开关电源EXCEL计算表格
还有很多,在这里就不一一举例了!
原本文档(Excel表格自动计算):最全开关电源相关计算.xls
下图为能源之星标准和自动计算方法
最新活动
往届回顾