行家说Display
LED新型显示产业智库
关注公众号
色差公式发展历程综述
色彩科学微课堂 · 2016-07-25
国际照明委员会(CIE)是负责国际色彩标准的机构。1931年,CIE第一次推荐CIEXYZ三刺激值色彩体系作为国际标准。虽然该体系推出之后几经修订,有新的体系推出,但基本原理没有改变。基于CIEXYZ三刺激值色彩体系,超过40个色差公式被提出,其目标是希望为工业界提供一个客观的色彩评判指标(colour decision-making)。除了上述目标,色差公式还可以提供色彩非恒常(colour inconstancy)准确评价、同色异谱(metamerism)评价、色彩排序(shade sorting)、色牢度(fastness testing)评价的基础。理想的色差公式是通过单个色彩数值就可以对任何颜色准确的进行通过/失败(pass/fail)决定。最新的CIE推荐的CIEDE2000色差公式十分接近该理想状态。本文回顾从1936年最早的色差公式到目前最新的CIEDE2000为止的发展历程。
实验数据库对于色彩公式的发展是极其重要的,因为本质上色差公式就是用于如何准确地描述这些实验数据。许多实验数据库是在不同的条件下得到,包括不同的观察条件(viewing conditions)、材料(materials)、尺度技术(scaling techniques)和样品大小(physical size of samples),这也导致了许多色差公式仅适用于某些实验数据库。下图列出了绝大多数实验数据库。所有数据库分为两个类别,即可觉察性(perceptibility)和可接受性(acceptability)。可觉察性表示观察者能够判断两个颜色的差别或两个颜色之间的视觉色差大小,也常用最小感知差异(just noticeable difference,JND)表示;可接受性表示观察者是否可以接受被观察到的颜色差别。工业界对可接受性更感兴趣,因为其可以用于品管过程中通过/失败的标准。在所有CIE推荐的色差公式中,均采用可觉察性数据,因为可接受性数据往往包含商业上的一些考量,如生产成本等。
色差公式发展历程综述
早期的实验数据,如MacAdam和Munsell数据都显示原先的CIEXYZ色彩空间是不均匀的。下图显示了Munsell色样在CIE xy空间内的分布情况,其中每一个圈表示拥有相同Munsell彩度(Munsell chroma)的色样,每一条线表示拥有相同Munsell色调(Munsell hue)的色样。由于Munsell色样是基于相同的视觉差异设计的。对于一个理想的色彩空间,所有的圈都应该是圆,且圆与圆之间是等间距的,所有的线都应该是直线。而下图中蓝色区域的一个彩度步长长度至少比绿色区域的一个彩度步长长度短5倍。
色差公式发展历程综述
下图显示了在CIE xy色品图上25个MacAdam椭圆。每一个椭圆表示椭圆中心到椭圆边界具有相同的视觉色差。对于一个理想的色彩空间,所有的椭圆都应该是等直径的圆,显然与下图不一致。明显绿色区域的椭圆大小至少是蓝色区域椭圆大小的10倍以上。
色差公式发展历程综述
通常一个色差公式提出是准确匹配某组实验数据,如Munsell或MacAdam数据,因此色差公式的性能显著取决于实验数据的可靠性和可复现性。从1936年第一个色差公式(Nickerson’s index of fading)提出至今,超过40个色差公式被提出。这些色差公式的发展历程大致可分为三个时期,1976年以前、1976年和1976年以后。下图给出了到目前为止绝大多数的在发展历程中较为重要的色差公式。由于微信公众号篇幅有限,就对现在常用的色差公式进行介绍。
色差公式发展历程综述
1976年之前色差公式
这一阶段,有超过20个色差公式被推出,大概可以分为三类,①基于MacAdam椭圆推导,②基于Munsell数据推导,③基于CIEXYZ色彩空间的线性转换。由于此阶段推出的色差公式到目前为止均已过时,故不再此作介绍。
这一阶段,CIE推荐了两个均匀色彩空间(uniform colour space,UCS)CIELAB (或 CIEL*a*b*)和CIELUV(或CIE L*u*v*)分别适用于减法混色(subtractive mixture)和有色光的加法混色(additive mixture)。两个色彩空间均包含相同的亮度尺度(lightnessscale)L*,和对抗色轴(opponent colouraxes)大致表示红绿(redness-greenness)和黄蓝(yellowness-blueness)。
色差公式发展历程综述
其中
色差公式发展历程综述
式中,X、Y、Z为测试颜色的三刺激值,Xn、Yn、Zn为CIE标准照明体照射在完全漫反射体上反射到观察者眼中的三刺激值,其中Yn=100。
除了L*, a*, b*之外,彩度C*ab和色调角hab因其与视觉感知对应故也经常被用于表征色彩,利用下列公式可以计算彩度和色调角:
色差公式发展历程综述
CIELAB色差公式如下:
色差公式发展历程综述
式中
色差公式发展历程综述
下标1、2分别表示目标和测试色样。
虽然CIELAB色差空间和色差公式距离理想均匀色彩空间有一定的差距(见下两图中的圈是椭圆而不是等直径的圆),但其广泛的应用于工业中,主要由于该色彩空间和色差公式表达直观、计算简单。
色差公式发展历程综述
Luo & Rigg 实验数据在a*b*图上椭圆
色差公式发展历程综述
RIT Dupont 实验数据在a*b*图上椭圆
色差公式发展历程综述
其中
色差公式发展历程综述
式中,u’、v’、Y为测试色样的参数,u’n、v’n、Y n为完全漫反射体参数。
CIELUV色差公式如下:
色差公式发展历程综述
式中
色差公式发展历程综述
需要注意的是CIELAB和CIELUV是同时包含色彩空间和色差公式的。而1976年之后的色差公式绝大多数都没有相应的色彩空间。色彩空间和色差公式是不同的。色彩空间一般有三个轴,例如为明度(lightness)轴、红绿轴(redness-greenness)和黄蓝轴(yellowness-blueness)。两个不同的色样可以在色彩空间中用两个点表示,两个点之间的几何距离就表示两个色样之间的色差。1976年之后的绝大多数色差公式都是基于CIELAB色彩空间进行优化或修改得到的,一般不具有相应的色彩空间。
1976年之前的色差公式基本基于Munsell和MacAdam数据库,获取这些数据库时的观察条件与工业界常用的观察条件差异极大,如Munsell系统,相邻两个色样之间的CIELAB色差单位可以达到5-10个,比工业界典型的色差值大10倍左右,且Munsell色样的物理尺寸普遍小于工业色样的大小;而MacAdams的实验数据基于视觉匹配,观察者只有一位,观察条件也极为特殊。
1976年之后,许多新的实验数据库被公开发表,且实验设置采用典型的工业观察条件。典型的有美国光学学会的OSA数据库和德国标准研究院的DIN数据库,基于上述两个数据库陆续提出了FCM、 LABHN、ATD、SVF和Oleari色差公式。除了上述两个数据库,还有McDonald、 Luo & Rig、 RIT-Dupont、Kim and Nobbs、Witt、Chou和Cui数据库,这些数据库被用于开发基于CIELAB色差公式的更为复杂和准确的色差公式,如CMC(l:c)、BFD(l:c) 、CIE94 、LCD以及最终CIEDE2000色差公式。这里就针对CMC(l:c)、CIE94和CIEDE2000进行介绍。
Coats公司的McDonald准备了包含55个颜色标准的600对涤纶色线对,让8位专业配色师进行视觉评价实验。另外,McDonald还准备了8000对色样对,让1位观察者进行视觉评价。这些实验数据最终用于推导初期JPC79色差公式。后期,英国染色工作者学会(Society of Dyers and Colourists, SDC)的颜色测量委员会(colour measurement committee,CMC)对JPC79进行修改,得到了CMC(l:c)色差公式,目前该色差公式被ISO组织推荐为纺织工业的色差公式。
CMC(l:c)的色差公式如下:
色差公式发展历程综述
其中
色差公式发展历程综述
明度权重因子l和彩度权重因子c用来调整明度和彩度对总色差色影响,大量实验数据表明,对于纺织工业的可接受性评价时,l:c推荐为2:1;而对于预测色差的可觉察性,l:c推荐为1:1。
罗切斯特理工学院(RIT)的Roy Berns等人用光泽的油漆样品进行视觉评价实验,数据库包括19个色彩中心,156个视觉色差阈值。最终提出了类似于CMC(l:c)结构的色差公式,但权重函数更为简单。他们认为CMC(l:c)色差公式过于复杂。最终该色差公式在1994年被CIE推荐并命名为CIE94色差公式。
色差公式发展历程综述
其中
色差公式发展历程综述
通常针对纺织工业,KL, KC和KH建议为2:1:1;针对非纺织行业,推荐采用KL:KC:KH=1:1:1。
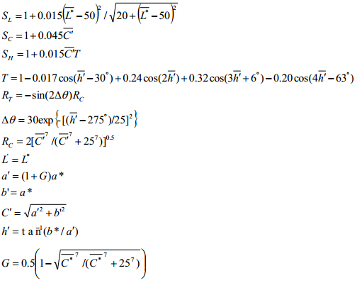
由于ISO推荐CMC(l:c)作为国际标准,而CIE推荐CIE94作为国际标准,CIE技术委员会TC1-47在1998年成立,目标是希望可以提出一更可靠和适用的色差公式融合这两个标准。最后,该技术委员会推荐CIEDE2000色差公式最为最新的公式推荐给工业界。
其计算步骤如下:
色差公式发展历程综述
式中
色差公式发展历程综述
相对于以往的色差评价模型,CIEDE2000色差公式着重对于下面几个方面进行改进:
1.重新标度近中性区域的a*轴,以改善近中性颜色的预测性能;
2. 将CIE94公式中的明度权重函数修改为近式V形函数;
3. 在色调权重函数中考虑了色调角的影响;
4. 包含了椭圆旋转项,反映蓝色区域的色差容限椭圆不指向中性点的情况。
经过多组实验数据测试显示,CIEDE2000色差公式对于视觉评价结果的匹配度是最佳的。下图显示了BFD数据库和RIT-DuPont数据库(红色)与CIEDE2000预测椭圆(黑色)的比较。总体上,两者之间重合度较高,也表明CIEDE2000的色差公式是可靠的。
色差公式发展历程综述
色差公式经过这么多年的发展,CIEDE2000色差公式基本上是最符合视觉评价的色差公式。但色差公式的研究并没有停止,未来的发展方向如下:
1. 到目前为止,基本上所有的1976年之后的色差公式是基于CIELAB的改进。所以开发新的均匀色彩空间并以此开发色差公式是未来发展方向,如CAM02-UCS等。
2. 我们需要开发适用于不同应用的均匀颜色空间,如照明工业的光刺激、显示工业的HDR均匀色彩空间等
3. 所有的色差公式仅仅使用了一组固定的CIE定义的观察条件,未来需要开发适用于不同观察条件的色差公式,如样品大小、背景、照度等。
4. 几乎所有的色差公式都为了预测单个色样对之间的色差。未来需要开发适用于更复杂色样的色差公式,如图像等。
参考文献
M.R. Luo, A Review ofthe Development of Colour Difference Formulae, Color Technology, 2010, 32(1):28-39
M. Ronnier Luo, 罗明 博士
浙江大学千人计划教授
英国利兹大学教授
国际照明委员会CIE副主席
相关标签
最新活动
往届回顾