行家说 UV
关注公众号
LED灯丝灯漏气难题如何破?远方在中国LED照明论坛上揭晓答案
远方光电300306 · 2016-07-20
近年来LED灯丝灯的增长非常迅速,据有关媒体报道,国内目前生产LED灯丝灯的相关企业已近800家,虽然进入门槛不高,但要做出高品质却是不容易的,其中LED灯丝灯的漏气问题是困扰广大生产制造企业的一大难题。为了破题,远方光电作了很多的研究工作,有关成果应邀在中国LED照明论坛发布!
LED灯丝灯漏气难题如何破?远方在中国LED照明论坛上揭晓答案
中国LED照明论坛现场
LED灯丝灯的内部充入惰性气体主要是为了散热,如果灯泡漏气,则LED结温升高,会影响其光色性能,并且使用寿命大幅降低。但漏气问题难以避免,更要命的是,漏气的LED灯丝灯照样能够点亮,很难识别出来。远方光电通过研究,找出了灯泡漏气的敏感物理量,为破题提供了行之有效的技术方案。
LED灯丝灯漏气难题如何破?远方在中国LED照明论坛上揭晓答案
LED灯丝的光学和热学性能
从核心器件LED灯丝说起,我们选用了两种不同封装结构的LED灯丝进行试验,其中,A灯丝采用金属基板,双面贴装LED芯片;B灯丝采用玻璃基板,单面贴装LED芯片;采用远方TRA-200热阻结构分析系统对A、B灯丝进行热阻测试分析,结果显示,金属基板的散热能力远优于玻璃基板。
LED灯丝灯漏气难题如何破?远方在中国LED照明论坛上揭晓答案
LED灯丝灯漏气难题如何破?远方在中国LED照明论坛上揭晓答案
LED灯丝灯漏气难题如何破?远方在中国LED照明论坛上揭晓答案
通过对比微分热阻结构发现,A灯丝在20℃/W附近有一个明显的峰,代表了金属基板,而B灯丝中的曲线整体比较平缓,意味着玻璃基板的散热能力与空气差不多。但无论是A或B灯丝的基板到空气间的热阻都比较大,即这一段散热能力很差,需要外部条件辅助。
使用远方ATA-500测量结温-光输出曲线发现,随着结温的升高,光输出确会大幅下降。
LED灯丝灯漏气难题如何破?远方在中国LED照明论坛上揭晓答案
LED灯丝的光输出随温度变化曲线
灯丝灯的整体热性能
选用基于B灯丝的灯泡,对密封完好的灯丝灯、以及漏气的灯丝灯热阻进行了测试。测量设备采用远方的TRA-300热阻分析仪,它适用于大功率或者整灯的热阻测量。
试验结果显示,漏气将直接导致LED灯丝灯的热阻增大,结温升高,造成灯丝灯的散热困难。而且对比发现,漏气的LED灯丝灯芯片结温与单根灯丝B在空气中直接点亮的结温是一致的。
LED灯丝灯漏气难题如何破?远方在中国LED照明论坛上揭晓答案
灯丝灯漏气的快速甄别方法
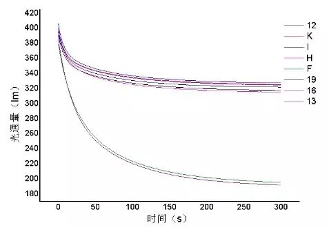
通过热阻来判别灯丝灯是否漏气,虽然可行但成本太高。为了研究灯丝灯漏气的快速甄别方法,我们找到了光衰这个物理量。如图,我们选取了一批灯丝灯样品,点亮一段时间内测量其光输出变化。结果发现漏气的F和13号灯出现了严重的光衰现象。
LED灯丝灯漏气难题如何破?远方在中国LED照明论坛上揭晓答案
灯丝灯漏气与光衰
在点亮初期,漏气的和不漏气的灯泡光通量差别并不明显,但随着工作时间的加长,漏气灯泡的光衰明显严重,最终编号F、13号灯泡的光通量与其余灯泡的光通量相差约40%。
LED灯丝灯的在线检测技术
灯丝灯漏气可能发生在其制作以及使用中的各个阶段,与选材和制造工艺有关,后期使用过程中的热环境、高低压变化以及电磁环境等均有可能导致漏气。
根据分析与实践,远方提出了一下的LED灯丝灯漏气的在线检测方案。
LED灯丝灯漏气难题如何破?远方在中国LED照明论坛上揭晓答案
在线检测设备(远方LAT-3000)
由于漏气的阶段以及原因具有不可预测性,本方案提出了相应的高效老化方案,即在常规老化项目功能外,还增加了电压(电流)冲击和跌落冲击试验,对LED灯具在实际使用过程中可能导致漏气的各种环境进行模拟。实践证明,高效老化技术不仅可以及时有效的发现产品的漏气,而且不损害合格产品,同时还可以起到节约老化时间、节约场地的作用。
LED灯丝灯漏气难题如何破?远方在中国LED照明论坛上揭晓答案
产线检测流程
产品老化结束后被测灯直接进入测试环节,并利用先进的光、色、电快速分析手段,准确测量分析产品性能参数,实现LED灯丝灯100%高精度在线检测,通过光衰准确判断LED灯丝灯是否漏气。
本方案从产品后端控制入手,通过对产品实现100%在线测试,可以保证在前期成本控制下所得合格产品的质量,并且每个产品流通到市场后都可以获得追溯和管理,全面提升产品的竞争力。
更多精彩内容,请您关注我们的会议报告,或者联系我们获取论文全文。
致谢:真诚感谢佛山照明、恒星照明、广明源照明电器以及杭科光电等单位给予本研究的大力支持和帮助!
微信号:everfine300306 期待您加入
相关标签
最新活动
往届回顾