行家说Display
LED新型显示产业智库
关注公众号
CIE色彩空间
色彩科学微课堂 · 2016-07-18
日常生活中我们经常用以下语言描述色彩:红色、大红、柠檬黄、中黄、咖啡色、宝石蓝、天蓝…
CIE色彩空间
其实这种方式传递色彩信息是非常不准确的,每个人对色彩语言的定义和见解是不同的,所有无法保证色彩信息的准确传统,此方法也不适用于色彩工业生产和管理。
还有一种现象在日常生活中也非常常见,就是同样一幅图像虽然其各像素RGB或CMYK值相同,但在不同的显示器或不同的打印机输出的色彩感觉是不同的,经常看到厂商拿不同品牌的手机进行对比来证明自己手机拍照显示的效果最好,面对这种情况我只想说你把相片导到电脑显示屏上看看,效果还是那么好么?类似的,你用PS技术将一幅图像再某台显示器上修的再好看,换一台显示器可能就没那效果了….。真相只有一个就是RGB和CMYK是设备相关的(Device-dependent),也就是说显色效果与载体设备相关。
从事配色行业的人,一定知道相同色料,不同批次之间是有色彩差异的;当相同配方在不同工厂之间转移时,都需要对配方进行微调以补偿色料批次之间的差异来满足最终色彩要求。同理,显示器屏幕厂商也会对每台显示器的台间差进行管控。大公司较小公司一个较大的优势是可以较好的控制产品批次之间的差异,保持较好的稳定性。
CIE色彩空间
那怎么样才能做到色彩的准确传递?现有的基本有两种方式:
一为购买色卡作为色彩传递的介质,比如说瑞典的NCS自然色色卡、德国的RAL色卡、美国的Pantone色卡、中国的CNCS色卡等等;色彩传递双方只需要购买相同的色卡,就可以色卡的标号进行传递,告诉对方色卡标号对方就可以找到相应的色卡。这种方式有几大缺点,①需要花钱购买色卡,且很多不便宜;②色卡用久了会褪色,经常看到配色员拿着用了好久已经磨损的色卡作为目标色进行配色;③即使是新的色卡,不同批次之间也是有一定的差异的;④不同色卡系统之间是不相通的,举个例子就是Pantone的色号与RAL的色号对应不起来。当然色卡也有好处,一是比较直观,二是给那些公司创造收入……
CIE色彩空间
CIE色彩空间
CIE色彩空间
第二个方式就是采用CIE色彩空间将色彩数字化。常用的CIE色彩空间有CIE XYZ、CIE xy、CIE uv、CIE u’v’、和CIELAB色彩空间。CIE色彩空间基于人眼特性,是设备无关的(Device-Independent),其数值相同就代表色彩相同,例如两个色样CIELAB值相同就代表这两个色样人眼视觉感知色彩相同。下面就对各个色彩空间进行介绍:
CIEXYZ色彩空间
下图展示了CIE1931和1964 XYZ标准色度观察者光谱三刺激值曲线,分别对应于2°视场和10°视场的色彩观察,其中1931的Y曲线与明视觉V(λ)一致,故计算得到的Y值代表亮度信息。标准色度观察者光谱三刺激值曲线是一切颜色计算和颜色测量仪器设计的基本依据,其表示了人眼的三种感光细胞对不同波长的响应情况,由图可知,人眼的响应范围基本在400-700nm,超过400-700nm范围的光对人眼感知色彩的影响极小,这也是我在第一篇文章中提到可见光范围也可以定义为400-700nm。
CIE色彩空间
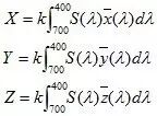
对于物体色来说,其CIEXYZ值的计算公式为
CIE色彩空间
S(λ)是光源的光谱功率分布曲线,R(λ)是物体的光谱反射比,x(λ)、y(λ)和z(λ)是CIE1931或1964标准色度观察者的光谱三刺激值函数,其中k为相应的归一化系数使完全漫反射体的Y值为100。
对于光源色,其计算公式为
CIE色彩空间
CIE xy, CIE uv 和CIE u’v’色彩空间
有了上面CIEXYZ值,就可以通过以下公式计算得到CIE色品坐标xy,由于CIE xy色品图是不均匀的,即CIE xy图上不同区域内的相同色距离不表示相同的色光差异。
CIE色彩空间
为改进CIE xy色品图的不均匀性,1960年CIE正式推荐了CIE1960 均匀色品标尺图(Uniform Color Space, UCS),即uv色品图,计算公式如下:
CIE色彩空间
为进一步改善色品图的均匀性,CIE于1976年又发布了1976 UCS图,即u’v’图,计算如下:
CIE色彩空间
这几个色彩空间常用于光源或显示屏色彩描述,例如很多显示屏厂商常常用RGB三基色在这几个色彩空间的位置以显示自己显示屏的色域大,其实这是很片面的评价,也极具误导性,显示器性能包括很多方面,下次写篇文章好好说说这事。
CIE色彩空间
CIE色彩空间
CIELAB色彩空间
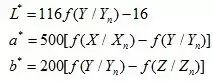
由于CIE XYZ色彩空间是不均匀的,且不能直接地表述视觉感知量,换句话说别人告诉你一个CIEXYZ值,你不能快速响应这是什么颜色、有多亮等。因此, CIE于1976年推荐了CIELAB均匀色彩空间,主要用于物体色的表示和评价,以便更客观准确地测量和评价颜色的差别。CIELAB颜色空间为直角坐标系,如下图,L*表示明度,而其色品坐标a*、b*分别为红绿方向和黄蓝方向,其计算公式为
CIE色彩空间
其中
CIE色彩空间
式中,X、Y、Z为色彩的三刺激值,Xn、Yn、Zn为CIE标准照明体照射在完全漫反射体上反射到观察者眼中的三刺激值,其中Yn=100。
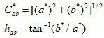
在CIELAB色彩空间中,除了L*,a*, b*之外,彩度C*ab和色调角hab因其与视觉感知对应故也经常被用于表征色彩,利用下列公式可以计算彩度和色调角:
CIE色彩空间
对于色调角hab,当a*> 0且b* > 0时,0° 0时,90° 0且b* < 0时,270°
CIE色彩空间
CIE色彩空间
CIELAB色彩空间
另外,有一点需要提醒,在计算CIELAB值时都有定义光源和标准观察者视场,例如CIELAB(D65,10°)等,这也就表明同一个色样在不同的光源下其CIELAB值时不同的,也代表其色彩的视觉感知是不同的。
讲完了色彩空间,下一篇就应该是色差公式了,将邀请个大牛好好讲讲这事,尽请期待…
参考文献
1. CIE15:2004, COLORIMETRY
2. 徐海松,颜色信息工程,浙江大学出版社,2005
最新活动
往届回顾