行家说Display
LED新型显示产业智库
关注公众号
【光电热点大家谈】光合作用光反应产物与供光模式关系研究与探讨
光合作用光反应产物与供光模式关系研究与探讨
议题:关于光照与生物反应器的应用
时间:2019年6月8日周六晚20:00开始地点:广东省光电技术协会群主讲人:茆学华
主讲人简介:
茆学华,男,1963年生人,从事光电研究三十余年,善长植物光合研究,参与多项重大农业光合研究课题。深圳现代设施农业协会初创人研究员,中国创美联盟智库专家。杭州三得农业物理生物工程中心主任。
参与了袁隆平院士水稻高产栽培光合研究试验。
从理论上解释了激光为什么以较小功耗完成植物光合作用的依据:植物光合作用需要的是,瞬间输送到叶面的光子数量,而不是光通量。
近年研究植物营养吸收的量子运动机理,开创性的发现了植物营养吸收的量子共振能量转移的自然规律,并成功用于高能营养肥料的制造上。将植物通过光合产生的营养,运用物理压力场方法,实现预合成,可使植物在光照不足的情况下,也可实现可持续生长
开创了物理生物工程技术。发明了使用高压射流拆解有机大分子的设备;发明了有机小分子分子整极设备;发明了有机粉体赋能设备。
对于农业可持续能源电力系统工程有成熟技术,首创无毒农业高产栽培技术,已成功用于特供农业,并成功出口到世界各地。独创的农业环境治理,独创的的带电栽培,独创的明暗脉冲激光植物光合模式,独具特色的纳米小刀电杀虫粉,将无毒农业成为现实,并可以应用在任何农业栽培模式,实现低成本可持续高产栽培。
【光电热点大家谈】光合作用光反应产物与供光模式关系研究与探讨
【光电热点大家谈】光合作用光反应产物与供光模式关系研究与探讨
【光电热点大家谈】光合作用光反应产物与供光模式关系研究与探讨
增加了一个产物:负离子。
【光电热点大家谈】光合作用光反应产物与供光模式关系研究与探讨
这里的插图都来源于几十位美国学者的专著:植物生理学。
【光电热点大家谈】光合作用光反应产物与供光模式关系研究与探讨
研究光对植物的响应方法:产不产生氧气。
【光电热点大家谈】光合作用光反应产物与供光模式关系研究与探讨
植光反应,遵守量子生物学中的激子能量转移规律。其中,捕光天线,将吸收的光激活变频。
【光电热点大家谈】光合作用光反应产物与供光模式关系研究与探讨
【光电热点大家谈】光合作用光反应产物与供光模式关系研究与探讨
光反应的产物很重要,涉及到后面讲的用光模式,以及光反应产物与暗反应原料匹配。
【光电热点大家谈】光合作用光反应产物与供光模式关系研究与探讨
背景知识
【光电热点大家谈】光合作用光反应产物与供光模式关系研究与探讨
【光电热点大家谈】光合作用光反应产物与供光模式关系研究与探讨
过去称为暗反应,现在称为碳反应。
【光电热点大家谈】光合作用光反应产物与供光模式关系研究与探讨
【光电热点大家谈】光合作用光反应产物与供光模式关系研究与探讨
【光电热点大家谈】光合作用光反应产物与供光模式关系研究与探讨
【光电热点大家谈】光合作用光反应产物与供光模式关系研究与探讨
光与暗呼吸,要与光碳反应区分开来。光与暗呼吸一般是指缺乏光合作用原料的空白光碳反应,应尽量避免。
【光电热点大家谈】光合作用光反应产物与供光模式关系研究与探讨
小结
【光电热点大家谈】光合作用光反应产物与供光模式关系研究与探讨
【光电热点大家谈】光合作用光反应产物与供光模式关系研究与探讨
【光电热点大家谈】光合作用光反应产物与供光模式关系研究与探讨
【光电热点大家谈】光合作用光反应产物与供光模式关系研究与探讨
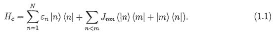
光合作用复合物的光激发可以用Frenkel激子模型来描述,对于由Ⅳ个载色体构成的系统,有效哈密顿量可以表示为:
【光电热点大家谈】光合作用光反应产物与供光模式关系研究与探讨
其中︱n〉是第n个载色体的分子激发态,是第n个载色体的跃迁能量,Jmm是第n个和第m个载色体的激子耦合强度。这些激子耦合对于激发能量传递是至关重要的。当这些耦合强度比较大时,必须考虑使哈密顿量对角化的能量本征态来描述复合物的光学性质和激发能量传递,这些能量本征态叫做激子基矢。复合物中的激子一般是多个分子激发态的相干叠加。所以,一个光子被光捕获复合物吸收后,产生了一个集体激发。
【光电热点大家谈】光合作用光反应产物与供光模式关系研究与探讨
我们将激子态之间的相干性叫做激子相干性。
【光电热点大家谈】光合作用光反应产物与供光模式关系研究与探讨
下面将讲到今晚的重点,间隙用光模式的理论依据,计算实验方式,与教科书无关。
【光电热点大家谈】光合作用光反应产物与供光模式关系研究与探讨
【光电热点大家谈】光合作用光反应产物与供光模式关系研究与探讨
【光电热点大家谈】光合作用光反应产物与供光模式关系研究与探讨
【光电热点大家谈】光合作用光反应产物与供光模式关系研究与探讨
【光电热点大家谈】光合作用光反应产物与供光模式关系研究与探讨
【光电热点大家谈】光合作用光反应产物与供光模式关系研究与探讨
【光电热点大家谈】光合作用光反应产物与供光模式关系研究与探讨
【光电热点大家谈】光合作用光反应产物与供光模式关系研究与探讨
【光电热点大家谈】光合作用光反应产物与供光模式关系研究与探讨
这个公式很重要,教科书里没有。
【光电热点大家谈】光合作用光反应产物与供光模式关系研究与探讨
【光电热点大家谈】光合作用光反应产物与供光模式关系研究与探讨
【光电热点大家谈】光合作用光反应产物与供光模式关系研究与探讨
【光电热点大家谈】光合作用光反应产物与供光模式关系研究与探讨
【光电热点大家谈】光合作用光反应产物与供光模式关系研究与探讨
【光电热点大家谈】光合作用光反应产物与供光模式关系研究与探讨
这个是重要的发现。
【光电热点大家谈】光合作用光反应产物与供光模式关系研究与探讨
【光电热点大家谈】光合作用光反应产物与供光模式关系研究与探讨
【光电热点大家谈】光合作用光反应产物与供光模式关系研究与探讨
【光电热点大家谈】光合作用光反应产物与供光模式关系研究与探讨
这个测试方法本人原创。
【光电热点大家谈】光合作用光反应产物与供光模式关系研究与探讨
【光电热点大家谈】光合作用光反应产物与供光模式关系研究与探讨
【光电热点大家谈】光合作用光反应产物与供光模式关系研究与探讨
这个方法与光源密切相关,所谓的间隔换方向用灯模式,与光源产生光反应产物的能力相关,也与我们提供的光合作用原料密切相关,匹配了,就可以延长碳反应时间,减少暗呼吸时间。
【光电热点大家谈】光合作用光反应产物与供光模式关系研究与探讨
【光电热点大家谈】光合作用光反应产物与供光模式关系研究与探讨
【光电热点大家谈】光合作用光反应产物与供光模式关系研究与探讨
该种用灯方式已经几年实践。
捕光系统中光的吸收和能量传递。
要使光能存储在生物体中,第一步必须是被与光合器有关的一个色素分子吸收。光子的吸收产生了一个激发态,最终被传递到光合作用反应中心并引起电荷分离。不是每个色素分子都进行光化学反应。大部分的色素分子是作为捕光天线的,收集光能并将其传递到光合作用反应中心,在那里进行光化学反应。在概念上,捕光天线系统类似于卫星天线,收集能量并将能量集中到一个接收器上,在这里信号转变为其他的形式。
最新活动
往届回顾