行家说Display
LED新型显示产业智库
关注公众号
OLED制备工艺细节全解析
OLEDindustry · 2018-12-04
OLED的制备工艺实际上是功能薄膜工艺和表面处理工艺的结合。制备该类器件的关键技术有功能层薄膜,金属电极及透明导电薄膜和保护膜等的制备技术,有机电致发光器件的制备过程决定了器件性能优劣,不同的发光材料需要不同的器件制备工艺、下面我们就以有机小分子OLED为例,简单描述有机电致发光器件的制备方法及工艺流程。
有机小分子OLED一般采用真空热蒸镀的方法进行制备,此类器件(以 PMOLED为例)的阳极通常是采用ITO或者ITO导电玻璃,其制备流程如下:
1
对ITO玻璃进行处理
ITO作为阳极其表面状态直接影响空穴的注入和与有机薄膜层间的界面电子状态及有机材料的成膜性。如果ITO表面不清洁,其表面自由能变小,从而导致蒸镀在上面的空穴传输材料发生凝聚、成膜不均匀。
ITO表面的处理过程为:洗洁精清洗→乙醇清洗→丙酮清洗→纯水清洗,均用超声波清洗机(如腾盛工业所制造的超声波清洗设备)进行清洗,每次洗涤采用清洗5分钟,停止5分钟,分别重复3次的方法。然后再用红外烘箱烘干待用。
对ITO玻璃表面进行处理一定要在干燥的真空环境中进行,处理过的ITO玻璃不能在空气中放置太久,否则 ITO表面就会失去活性。
2
对ITO玻璃进行蚀刻,制备所需要的阳极图形
作用:线路成型。
蚀刻分为干蚀刻与湿蚀刻,其区别如下:
干蚀刻:利用不易被物理、化学作用破坏的物质光阻来阻挡不欲去除的部分,利用电浆的离子轰击效应和化学反应去掉想去除的部分,从而将所需要的线路图形留在玻璃基板上。干蚀刻等向性蚀刻与异向性蚀刻同时存在。
湿蚀刻:利用化学药液将需要蚀刻掉的物质蚀刻掉。湿蚀刻为等向性蚀刻。湿蚀刻机台便宜,蚀刻速度快,但难以精确控制线宽和 获得极其精细的图形并且需要大量用水,污染大 ;干蚀刻机台价格昂贵,蚀刻速度速度慢,但可以精确控制线宽能获得极其精细的图形,而且 不需要用水,污染小。
3
进行图案化后的清洗工作
因为器件功能层厚度仅为几十纳米,粒径为微米级的灰尘或异物会造成有机材料无法形成连续薄膜并且影响薄膜表面的平整性,造成器件短路或者击穿:另外,ITO表面一些无机或有机沾染物会影响有机材料在ITO表面的附着性,降低器件性能。所以,OLED器件对TO表面的洁净程度要求很高。
基片清洗的方法有很多,如化学清洗法、超声波清洗法、真空烘烤法和离子击法等。将基片放入含有5%左右洗涤剂的去离子水溶液中,加热至40℃,在70Hz频率下超声波振荡15min,再用40°C去离子水在超声清洗基片15min,然后在常温相同频率下用丙超声振荡基片15min,最后在常温相同频率下用异丙醇超声振荡基片15min。
把经过超声处理后的ITO玻璃从异丙醇中拿出用N2吹干待用。同时,为了提高ITO阳极的功函数,通常把吹干待用的基片放入紫外烘箱中进行紫外光照射处理或进行等离子体轰击处理,在真空情况下送到蒸镀设备进行器件制备。
4
然后把处理好的ITO玻璃村底放入真空蒸镀腔中
当真空度达到3×10-4Pa以下时开始蒸镀各个有机半导体功能层,最后在有机层的上面蒸镀金属阴极。在有机材料的蒸镀过程中,当有机材料从蒸发源中被加热蒸发出来之后,有机材料分子或金属原子将以一定的初速度脱离材料表面向外飞散,如果这些分子或原子在飞散过程中遇上其他分子,这些被蒸发出来的分子将可能被散射;如果没有碰到气体分子,则一部分被蒸发出的分子将从材料表面匀速直线运动到基板表面,并沉积下来形成一层致密薄膜,薄膜的厚度分布与束源和样品的相对位置及发散角等因素有关。
一般而言,有机小分子在ITO导电玻璃上是均匀层状生长的,而且形成的是无定形薄膜,但是也有岛状生长和类似于传统的分子東外延生长中的准分子束外延生长的有序有机薄膜。
在薄膜的淀积过程中,控制厚度均匀的薄膜和恒定的蒸发速率是非常重要的,通常有机分子的蒸发速率控制在一定范围,如果沉积速率太快,沉积上去的有机分子还来不及通过热振动弛豫能量,便被随后沉积上去的分子覆盖,这样很容易导致分子排列出现缺陷,使薄膜很容易产生针孔现象,因此需要优化设计好蒸镀源的形状、尺寸和与样品之间的距离。
事实上,真空蒸发是在一定压强的残余气体中进行的。真空室内存在两种粒子,种是蒸发物质的原子或分子,另外一种是残余气体分子。这些残余气体分子会对薄膜形成过程乃至薄膜性质产生影响。
OLED制备工艺细节全解析
ITO表面之原子力显微镜照片
如果真空度过低,残余气体分子的量很大,真空蒸发物质原子或分子将与大量空气分子碰撞,会使膜层受到严重污染,甚至被氧化烧毁。如果此时沉积的是金属薄膜,那么这层金属薄膜往往没有金属光泽,表面粗糙,薄膜不均匀不连续。
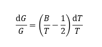
因此要获得高纯度的薄膜,必须要求残余气体分子很少,宏观上表现为真空腔室的背景压强非常低(高真空度)为了保证现质量,当发源到基片的距离为25m时,压强则需低于3x10-3Pa,因此,在实际实验中蒸各功能层时,体压强均保在在真空蒸镜过程中,蒸发速率和薄膜厚度是最重要的两个参数。蒸发速率除与蒸发物质的分子量、绝对温度和蒸发物质在温度了时的饱和蒸气压有关外,还与材料自身的表面清洁度有关。蒸发源温度变化对蒸发速率影响极大,下方公式描述了蒸发速率G随温度了的变化关系:
OLED制备工艺细节全解析
其中,B为常数。对于金属而言,B/T值通常在20~30,即:
OLED制备工艺细节全解析
因此,在进行真空蒸发时,蒸锻源温度的微小变化即可引起蒸发速率发生很大变化。因而在沉积薄膜过程中,必须精确控制蒸发源温度,以控制合适的蒸发速率,同时加热过程中应避免过大温度梯度的产生。实验室常用的通过真空蒸制备OLED的蒸镀系统设备如下图所示。
OLED制备工艺细节全解析
真空蒸镀系统,来源:OLED显示技术导论,于军胜
(备注:1、仪器控制台,2、传送杆,3、O2储气罐,4、离子轰击室,5/8/10、挡板阀,6、有机薄膜蒸镀腔,7、涡轮分子泵,9、金属薄膜蒸镀腔,11、器件封装室,12、膜厚动态监测仪,13,机械泵)
OLED制备工艺细节全解析
蒸镀设备
1为仪器控制台,由真空显示台、温控电源、样品架升降电源、机械泵电源,分子泵电源、离子菱击电源、金属蒸发源、快门控制电源组成,主要功能是在整个器件制各过程中显示和调控蒸发速度与蒸发温度等参数;
2是传送杆。
4室为离子轰击室,主要功能是对ITO玻璃基片进行O2离子菱击,完成预处理;
6室为有机薄膜蒸腔,配备涡轮分子泵7作为主泵、机械泵1、机械泵3作为分子泵前级,主要功能是在高真空条件下将有机小分子材料蒸被到ITO基片上;
9室为金属薄膜蒸铍腔,主要功能是将金属蒸到有机功能层上,形成金属或合金电极;
11室为器件封装室,在充满高纯N2的环境下对器件进行封装。
12是膜厚动态监控仪。
13是机械泵。
OLED制备工艺细节全解析
OLED制备工艺细节全解析
OLED制备工艺细节全解析
↓↓↓↓↓↓
5
金属电极的真空蒸镀工艺
金属电极仍要在真空腔中进行蒸镀。金属电极通常使用低功函数的活泼金属,因此在有机材料薄膜蒸镀完成后进行蒸镀。常用的金属电极有Mg/Ag、 Mg:Ag/Ag、Li/Al、LiF /Al等。用于金属电极蒸镀的舟通常采用钼、钽和钨等材料制作,以便用于不同的金属电极蒸镀(主要是防止舟金属与蒸镀金属起化学反应)。 金属电极材料的蒸发一般用加热电流来表示,在我们的真空蒸镀设备上进行蒸镀实验,实验结果表明,金属电极材料的蒸发加热电流一般在70A~100A 之间(个别金属要超过100A)、ITO样品基底温度在80℃左右、蒸发速度在5晶振点~50晶振点/秒(即约0.5nm~5nm/S)、蒸发腔的真空度 在7×10-4Pa~5×10-4Pa时蒸镀的效果较佳。
6
器件封装工艺
OLED器件的有机薄膜及金属薄膜遇水和空气后会立即氧化,使器件性能迅速下降,因此在封装前决不能与空气和水接触。因此,OLED的封装工艺一定 要在无水无氧的、通有惰性气体(如氩气)的手套箱中进行。封装材料包括粘合剂和覆盖材料。粘合剂使用紫外固化环氧固化剂,覆盖材料则采用玻璃封盖,在封盖内加装干燥剂来吸附残留的水分。下图为由于水分入侵造成有机层的破坏。
吸水材料
一般OLED的生命周期易受周围水气与氧气所影响而降低。水气来源主要分为两种:一是经由外在环境渗透进入元件内,另一种是在OLED工艺中被每一层物质所吸收的水气。为了减少水气进入元件或排除由工艺中所吸附的水气,一般最常使用的物质为吸水材(Desiccant)。Desiccant可以利用化学吸附或物理吸附的方式捕捉自由移动的水分子,以达到去除元件内水气的目的。
工艺及设备开发
封装工艺的传统流程如下图所示,为了将Desiccant置于盖板及顺利将盖板与基板黏合,需在真空环境或将腔体充入不活泼气体下进行,例如氮气。值得注意的是,如何让盖板与基板这两部分工艺衔接更有效率、减少封装工艺成本以及减少封装时间以达最佳量产速率,已俨然成为封装工艺及设备技术发展的主要目标之一。
OLED制备工艺细节全解析
传统OLED封装流程
7
附:mura的常见种类、检测以及常见鉴本及解决方法
任何颜色,明暗不均的现象都称为Mura
Mura产生的原因包括
制程异常,膜厚差异,CD变异,Pattern偏移,异物等
OLED制备工艺细节全解析
OLED制备工艺细节全解析
OLED制备工艺细节全解析
OLED制备工艺细节全解析
OLED制备工艺细节全解析
OLED制备工艺细节全解析
OLED制备工艺细节全解析
OLED制备工艺细节全解析
OLED制备工艺细节全解析
OLED制备工艺细节全解析
OLED制备工艺细节全解析
OLED制备工艺细节全解析
OLED制备工艺细节全解析
OLED制备工艺细节全解析
OLED制备工艺细节全解析
OLED制备工艺细节全解析
OLED制备工艺细节全解析
OLED制备工艺细节全解析
OLED制备工艺细节全解析
OLED制备工艺细节全解析
OLED制备工艺细节全解析
OLED制备工艺细节全解析
OLED制备工艺细节全解析
OLED制备工艺细节全解析
OLED制备工艺细节全解析
OLED制备工艺细节全解析
OLED制备工艺细节全解析
OLED制备工艺细节全解析
OLED制备工艺细节全解析
OLED制备工艺细节全解析
相关标签
最新活动
往届回顾