行家说Display
LED新型显示产业智库
关注公众号
积分球涂料哪点事……
广州国际照明展览会 · 2016-06-11
积分球是光源和灯具测试非常普遍的一类测试仪器,如大家所知,看起来就是一个大球加了里面的涂层,虽然积分球本身的设计也是非常非常重要,不过今天小编主要来扒一扒非常关键的积分球涂料的那些事。
部分内容可能涉及一些配方哦….. 文末还会给光学"测试狗"们带来一个小惊喜,关于如何评价配光测试的偏离误差….
积分球涂料哪点事……
就是这只“球”!
●○●○●○
积分球涂料配方演变
按说,小编应该先给个积分球公式,推导一下积分球涂料各项指标对测试结果的影响,可是思前想后,我们还是直接开扒吧,先说说历史吧,公式我们放到最后,供学霸参考。
话说,在1934年,有一本光学原理的书,《Principle of Optics》,作者Hardy Perrin 提到了 积分球的原理以及对内壁涂料的配方说明 :
"对于积分球体内部涂层最重要的是,涂料应该具有完美的漫反射特性,而且是非选择性的漫反射,使得光在球体内部经过反复的反射后,不会改变光的颜色!"
这也就是说,第一重要的,积分球涂料必须漫反射,也就是我们说的哑光吧;第二呢,对不同波长的反射率必须一致。此外,该书给出了此时积分球涂料的配方,该配方含有标准的氧化锌颜料。
配方与工艺
变性酒精、无色赛璐珞、樟脑
按照100:10:15配比
先将樟脑溶解在酒精中,然后添加赛璐珞直到10个小时后赛璐珞溶解为止,并且将酒精蒸发。
↓↓↓
后来,涂料配方改进如下
纤维素漆、酒精、氧化锌
按照4:1:1 配比
搅拌这种混合物直到一个合适的粘度为止,这大概需要一个多小时。 然后再加两份的酒精和一到两份的水,松节油。酒精加到里面主要是为了延缓松节油的干燥。
喷涂工艺
常用的喷涂白涂料的工艺,一般会推荐使用氧化镁工艺,并用氧化镁对喷涂的表面进行雾化处理。这种雾化工艺主要使用金属镁,利用其与氧气燃烧,凝结在球壁上。在处理氧化镁涂层时,要特别小心防止变为黄色的MgN3。
危险,请勿模仿!
我们需要的化学反应
2Mg + O2=2MgO
存在的竞争性化学反应
2Mg+ 3N2 =2MgO3
进一步反应
MgN3 + H2O + O2=MgO +NO2 + 其它氮氧化合物
以上工艺在积分球上已经很少使用了。
呵呵
再后来,硫酸钡取代了氧化镁成为常用积分球涂料的主要颜料。如下图,可见硫酸钡具有更好反射一致性和高反射率。
积分球涂料哪点事……
黑色为硫酸钡,红色为氧化镁
●○●○●○
常用喷涂型积分球涂料
目前市场上的积分球涂料主要有三类:分别是 硫酸钡、牢固性、特氟龙型
这是市场最常见的积分球涂料,这种可以商业使用的经典积分球涂料由柯达公司 (Eastman Kodak)在上世纪70年代由Grum and Luckey 开发的,正式的商品名是" Eastman 6080 White Reflectance Coating",目前市场上可售的积分球涂料都是以此涂料为基础改进的。
优点:高反射率、喷涂容易、无毒、高朗伯特性(工艺正确)
缺点:水溶性的、不够牢固、容易损害(如掉粉)
Avian-B是该种涂料的经典产品,下图是Avian-B的反射率曲线,同类产品有Spectraflect (6080)等常用积分球涂层
积分球涂料哪点事……
成分揭秘:该种涂料主要由硫酸钡粉末、PVA 粘结剂、水、酒精,以及一些添加剂组成。
由于在实际使用过程中,难免有有污染物进入积分球,例如灰尘、飞虫、油污、纤维、体屑等,硫酸钡涂层无法吹气清除灰尘杂物,也不能清洗,因此一种能够容易清洁的涂层应运而生。
市场上一些采用特殊配方的积分球涂料,具有一定的牢固性,环境适应性好
主要有:
Avian Technologies 公司的 Avian-D (可对外出售,现场喷涂)
Gooch & Housego (原Optronic Laboratory)公司的 Optolon 2 (不出售,可加工)
优点:高反射率、防水(可水洗)、高朗伯特性(工艺有关),其中 Optolon 2 涂料比最好的硫酸钡涂层反射率还要高(98.6% VS 98.4%)
缺点: 不易去除、紫外反射率低
积分球涂料哪点事……
清洁方法: 以Optolon 2为例,可用干燥空气吹扫一般附着物、用中性洗涤液去除深度污染物、砂纸打磨清洁顽固污迹。
有两种,一种使用压制的PTFE粉末,使用硅酮真空胶,将PTFE粉末压制在一起,比重大约 1.0 g cm‐3
优点:有非常高的反射率和朗伯特性;
缺点:缺较脆,易碎,对温度敏感、热稳定性差, 容易污染
还有一种是烧结的PTFE
优点:有非常高的反射率和朗伯特性,非常稳定;
缺点:比重大、价格高,只适合做一些小型积分球
●○●○●○
涂料反射率与测试结果关系
在积分球关于反射率应该高还是低,一直有两派观点,一种是北美派,认为反射率越高越好;一派来自欧洲,认为反射率在80%左右最好。其实各有优缺点。
关于这个问题,可从两个方面考虑
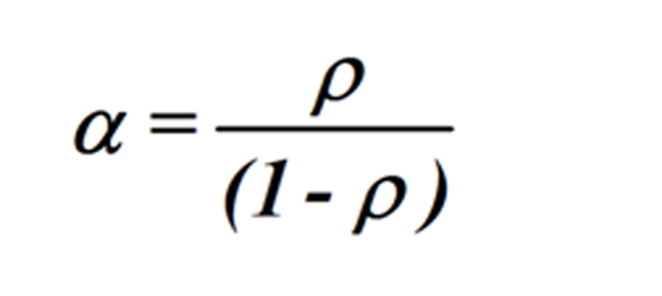
> 积分球公式
积分球涂料哪点事……
α 表示积分球的效率,ρ表示反射率。积分球效率越高,说明系统灵敏度越高。由此公式,可做如下解读:
↓↓↓
如果积分球涂料的反射率较低,如80%左右的时候,测试结果对积分球反射率的变化最不敏感,也就是说,在80%反射率的涂料,当反涂层的反射率由于各种原因发生变化时,对测试结果的影响最小。这种涂料的缺点就是lower throughput,但是对于大多数的灯具、灯泡来讲,这个不是问题。但是测试较小光通量的光时,可能灵敏度不足。
>反射率对积分球均匀性的影响
下图分别表示80%,95%,98%三种涂层下,不同体积积分球的空间均匀性。空间均匀性越好,则对灯具测试的方向性要求越小,越容易得到高精确的测试结果,尤其是测试射灯、LED窄光束的灯具时,特别明显。
积分球涂料哪点事……
技术前沿:如何评价配光偏离误差
在实际灯具研发、测试和分布式光度计维护校正过程中,非常需要一种评价两个配光数据之间在空间三维的光强偏离情况
同一个灯具在不同条件(例如电流、温度、湿度)下的配光特性变化
分布式光度计不同方位上的光强测试误差
来源 | 光傲科技
最新活动
往届回顾