光品质参数是衡量光源好坏极为重要的指标,常见的光品质参数有色温、显色指数、照度、眩光指数、光型控制、照明均匀性、光亮度等,以后的几篇文章就分别介绍下基于光谱功率分布(SPD)得到的各光品质参数,使大家对光源有更进一步的理解。
1
黑体辐射
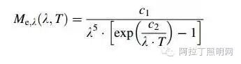
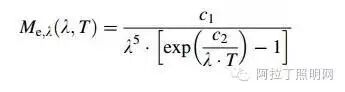
提到光源,就不得不介绍黑体辐射,上一期也有所提到。黑体又称为普朗克辐射体,属于热辐射,能完全吸收任意波长的入射辐射,并且具有最大发射率的物体称为绝对黑体,黑体辐射的光谱分布完全取决于它的温度,其光谱辐射出射度见下列公式和图。只要温度一定,黑体的光谱分布就可以计算出来。
由下图可知,
①在温度下,黑体的辐射出射度存在一个最大值,且此最大值随温度往短波方向移动,而短波的颜色为蓝色,故其光色偏蓝、偏冷;
②在任一波长处,高温黑体辐射亮度绝对大于低温黑体谱辐射亮度,不论这个波长是否是光谱最大辐射亮度处。黑体在辐射度学、光度学和色度学中具有十分重要的意义。
在光辐射测量中,常用黑体作为原始标准来标定其他的辐射体,以用作测量标准,如国际照明委员会(CIE)规定的以色温为2856K的钨丝白炽灯,即标准光源A。
其中,c1=2×π×h×c2=3.74183×10-16W/m2,c2=h×c/k=1.4388×10-2m·K,λ为波长,T为黑体绝对温度(单位K,T=t+273),c为光速,h为普朗克尝试,K为玻尔兹曼常数。
0.1-100μm黑体光谱辐射出射度
380-780nm可见光范围内黑体光谱辐射出射度
2
色品坐标
色品坐标xy表示一个光源的色光,其计算公式如下:
其中,k为归一化系数使得最终计算的Y值为100;P(λ)为光源的SPD,可通过相关的测量设备可得;x(λ)、y(λ)、z(λ)为CIE标准色度观察者色匹配曲线(Color Matching Function, CMF),分为2°与10°视场,其为标准化数据,具体数值可参阅参考文献。
熟悉X-Rite公司的朋友应该对三条曲线很熟悉,因为其就是原先美国X-Rite公司的logo。由于CIExy色品图是不均匀的,即CIExy图上不同区域内的相同色距离不表示相同的色光差异。为改进CIE xy色品图的不均匀性,1960年CIE正式推荐了CIE1960均匀色品标尺图(Uniform Color Space,UCS),即uv色品图,计算公式如下;
为进一步改善色品图的均匀性,CIE于1976年又发布了1976UCS图,即u’v’图,计算如下:
CIE标准色度观察者色匹配曲线
X-Rite logo
将所有黑体每个色温下的色品坐标连接成线即为黑体轨迹(Blackbody Locus),其可以在CIE xy、CIE uv或CIE u’v’色品图上,见下图。
CIE xy色品图中的黑体辐射轨迹
3
色温和色偏差
当光源在温度T时所呈现的颜色与黑体在某一温度Tc时的颜色相同时,则将黑体的温度Tc称为该光源的颜色温度,即色温。对于白炽灯等热辐射源而言,由于其光谱功率分布为连续谱,且与黑体比较接近,所以它们的色品坐标点基本位于黑体轨迹上,色温的概念能够很好地描述白炽灯的光色。
对于其他光源如荧光灯,其光谱功率分布与黑体相差较远,其色品坐标不一定落在黑体温度轨迹线上,这时需要采用相关色温(Correlated ColorTemperature, CCT)来表征光源的色光特性,其定义为当光源的颜色与黑体在某一温度下的颜色最接近时,即色品图上两者的距离最小时,就用该黑体的温度表示该光源的色温;
该最小距离定义为色偏差Duv,‘+’表示该光源颜色在色度图上位置处于黑体轨迹上方,即偏黄绿,‘-’表示光源颜色在色度图上位置处于黑体轨迹下方,即偏紫红。
ANSI C78.377-2008,Specifications for the Chromaticity of Solid State Lighting Products标准关于LED光源色温的定义,以及很多LED datasheet中的分bin的意义也在于此。
CIE uv色品图中的等色温线
ANSI C78.377-2008标准在CIE xy色品图中的名义色温定义
若同一个相关色温的不同光源,其Duv差异较大,则对应的光源色光差异也较大,见下图。
3500K Duv=0
3500K Duv=0.02
3500K Duv=-0.02
4
日常常用光源色温
日常生活中常见的光源色温见下图,烛光1800-2000K,偏红偏暖;白炽灯大致为2800K,偏黄;日落或日出时的日光为3000K;中午晴空的日光大致为5500K;蓝天的天空为7500K等。
下面给出几组常见光源的SPD、色温、Duv和色品坐标参数,希望大家有个概念。
日光-色温5988K,xy(0.3221,0.3345),Duv(0.0014)
办公室照明-色温6145K, xy(0.3188,0.3367),Duv(0.0041)
商场照明-色温2942K, xy(0.4430,0.4094),Duv(0.0013)
商场照明-色温5754K, xy(0.3261,0.3631),Duv(0.0136)
个人建议:家具照明一般卧室可以选用低色温偏暖的光,色温大致在3000K左右;客厅、走廊、餐厅等可选用4000-5000K的中性白;而需要集中精力的办公室、会议室或台灯则推荐使用高色温照明,如6500K。
对了,不知大家有注意到么?到商场去买灯时,所有的灯具外包装上都有标注色温这一参数,以后就可以根据需要选择适合自己的色温了。
参考文献:
1. CIE15:2004, COLORIMETRY
2. J.Schanda, COLORIMETRY-Understanding the CIE System, Wiley, 2007
来源 | 色彩科学微课堂 作者 | 王彬宇
登载此文出于传递更多信息,只作分享交流之用,并不意味着赞同其观点或证实其描述。
ID:alighting_gy
【咨询交流】添加A君微信:1497591674
【投稿联系】林小姐:ljx@alighting.cn
